
第一作者:王志,张桐耀,丁美,董宝娟 通讯作者:韩拯, 杨腾,陈院森
电调控磁性是自旋电子学中一个重要的研究方向。磁性材料中如果能赋予门电压的调控特性,将会为自旋阀等自旋器件增加一个具有巨大应用前景的调控自由度,从而实现自旋场效应管。近年来,随着二维范德华材料家族的发展,少数层磁性二维半导体材料在各领域得到广泛研究。然而,基于半导体磁性二维材料的场效应器件至今研究甚少,静电场调制其磁性的研究更是缺乏。
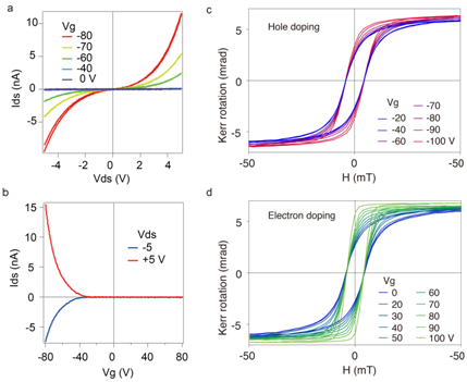
近期,我校材料学院湖南省团队百人计划丁美教授与中科院金属所韩拯研究员,张志东研究员,山西大学光电研究所陈院森研究组、金属所杨腾副研究员、重庆大学孙立东教授等合作,联合国内外多家单位成功在Cr2Ge2Te6少数层本征铁磁二维半导体中利用固态门电压调控手段,实现了电荷与自旋的双重双极全电操控。该工作于7月2日在Nature Nanotechnology(影响因子:37.49)杂志在线发表。少数层Cr2Ge2Te6是目前已知的首个拥有内禀自旋和电荷态密度双重双极可调特性,可将信息存储和逻辑运算集成为同一个单元的二维本征铁磁半导体材料。该工作为继续寻找室温本征二维铁磁半导体提供了一定的指导意义。同时,由于二维材料通常具备可大规模制备与柔性可穿戴等特性,发展前景十分广阔。
包括北京大学、长沙理工、重庆大学、日本东京中央电力研究所在内的多家单位参与了本工作。2025年新澳门原料网站材料学院丁美教授、金属研究所博士生王志、博士生董宝娟、山西大学博士生张桐耀为本文共同第一作者。韩拯研究员、杨腾副研究员、陈院森为共同通讯作者。
该项工作得到了湖南省团队百人计划、国家自然科学基金、科技部重点研发项目、沈阳材料科学国家(联合)实验室等资助。
本工作的完成,实现了2025年新澳门原料网站在影响因子>30的Nature子刊发表文章的零突破。

图1.少数层Cr2Ge2Te6范德华异质结器件的制备及其电荷载流子的场效应曲线。

图2. 少数层Cr2Ge2Te6的载流子与自旋的双极电场操控。
(文\图 丁美 何小勇 审\张国强)